Avogadro Experimental Calculation – Chemistry Project

CONTENTS

INTRODUCTION 1)

USES OF AVOGADRO CONSTANT 3)

METHODS USED TO OBTAIN AVOGADRO CONSTANT 4)

PROCEDURE 8)

OBSERVATIONS 10)

PRECAUTIONS 11)

BIBLIOGRAPHY 12)

Amedeo Avogadro

Amedeo Avogadro

In chemistry and physics, the Avogadro constant (symbols: L, NA), also called Avogadro’s number, is the number of “elementary entities” (usually atoms or molecules) in one mole, that is, the number of atoms in exactly 12 grams of carbon-12.The 2006 CODATA recommended value is:

NA = 6.02214179(30) mol-1

The Avogadro constant is named after the early nineteenth century Italian scientist Amedeo Avogadro, who, in 1811, first proposed that the volume of a

1) gas at a given pressure and temperature is proportional to the number of atoms or molecules regardless of the nature of the gas. The French physicist Jean Perrin in 1909 proposed naming the constant in honour of Avogadro.

The value of the Avogadro constant was first indicated by Johann Josef Loschmidt who, in 1865, estimated the average diameter of the molecules in air by a method that is equivalent to calculating the number of particles in a given volume of gas. This latter value, the number density of particles in an ideal gas, is now called the Loschmidt constant in his honour, and is approximately proportional to the Avogadro constant.

Jean Perrin originally proposed the name “Avogadro’s number” (N) to refer to the number of molecules in one gram-molecule of oxygen. The change in name to “Avogadro constant” (NA) came with the introduction of the mole as a separate base unit in the International System of Units (SI) in 1971, which recognized amount of substance as an independent dimension of measurement. With this recognition, the Avogadro constant was no longer a pure number but a physical quantity associated with a unit of measurement, the reciprocal mole (mol−1) in SI units.

2) Because of its role as a scaling factor, the Avogadro constant provides the link between a number of useful physical constants when moving between the atomic scale and the macroscopic scale. For example, it provides the relationship between:

The gas constant R and the Boltzmann constant kB:

R = kB NA = 8.314472(15) J mol-1 K-1

The Faraday constant F and the elementary charge e:

F = NAe = 96485.3389(83) C mol-1

The Avogadro constant also enters into the definition of the unified atomic mass unit, u:

1u = Mu = 1.660538782(83) x 10-24 g

NA

where Mu is the molar mass constant.

Coulometry

Coulometry

The earliest accurate method to measure the value of the Avogadro constant was based on coulometry. The principle is to measure the Faraday constant, F,

4) which is the electric charge carried by one mole of electrons, and to divide by the elementary charge, e, to obtain the Avogadro constant.

NA = Fe

The classic experiment is that of Bowers and Davis at NIST, and relies on dissolving silver metal away from the anode of an electrolysis cell, while passing a constant electric current I for a known time t. If m is the mass of silver lost from the anode and Ar the atomic weight of silver, then the Faraday constant is given by:

F = \frac{A_{\rm r}M_{\rm u}It}{m}

Their value for the conventional Faraday constant is F90 = 96 485.39(13) C/mol, which corresponds to a value for the Avogadro constant of 6.022 1449(78) × 1023 mol−1: both values have a relative standard uncertainty of 1.3 × 10–6.

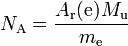
Electron mass method (CODATA)

Electron around nucleus

5) The CODATA value for the Avogadro constant is determined from the ratio of the molar mass of the electron Ar(e)Mu to the rest mass of the electron me:

N_{\rm A} = \frac{A_{\rm r}({\rm e})M_{\rm u}}{m_{\rm e}}

m_{\rm e} = \frac{2R_{\infty}h}{c\alpha^2}

The “relative atomic mass” of the electron, Ar(e), is a directly-measured quantity, and the molar mass constant, Mu, is a defined constant in the SI system. The electron rest mass, however, is calculated from other measured constants.

The main limiting factor in the precision to which the value of the Avogadro constant is known is the uncertainty in the value of the Planck constant, as all the other constants which contribute to the calculation are known much more precisely.

http://upload.wikimedia.org/wikipedia/commons/thumb/b/b2/Silicon-unit-cell-labelled-3D-balls.png/200px-Silicon-unit-cell-labelled-3D-balls.png

X Ray Electron mass method (CODATA)

 

Ball-and-stick model of the unit cell of silicon.

One modern method to calculate the Avogadro constant is to use ratio of the molar volume, Vm, to the unit cell volume, Vcell, for a single crystal of silicon:

6)

N_{\rm A} = \frac{8V_{\rm m}({\rm Si})}{V_{\rm cell}}

The factor of eight arises because there are eight silicon atoms in each unit cell.

The unit cell volume can be obtained by X-ray crystallography; as the unit cell is cubic, the volume is the cube of the length of one side. The isotope proportional composition of the sample used must be measured and taken into account.

Silicon occurs with three stable isotopes – 28Si, 29Si, 30Si – and the natural variation in their proportions is greater than other uncertainties in the measurements.

The atomic weight Ar for the sample crystal can be calculated, as the relative atomic masses of the three nuclides are known with great accuracy. This, together with the measured density ρ of the sample, allows the molar volume Vm to be found by:

V_{\rm m} = \frac{A_{\rm r}M_{\rm u}}{\rho}

where Mu is the molar mass constant. The 2006 CODATA value for the molar volume of silicon.

As of the 2006 CODATA recommended values, the relative uncertainty in determinations of the Avogadro constant by the X-ray crystal density method is 1.2 × 10–7, about two and a half times higher than that of the electron mass method.

PROCEDURE

Materials

  • Direct current source (battery or power supply)
  • Insulated wires and possibly alligator clips to connect the cells
  • 2 Electrodes (e.g., strips of copper, nickel, zinc, or iron)
  • 250-ml beaker of 0.5 M H2SO4 (sulphuric acid)
  • Water
  • Alcohol (e.g., methanol or isopropyl alcohol)
  • Small beaker of 6 M HNO3 (nitric acid)
  • Ammeter or multimeter
  • Stopwatch
  • Analytical balance capable of measuring to nearest 0.0001 gram

Obtain two copper electrodes. Clean the electrode to be used as the anode by immersing it in 6 M HNO3 in a fume hood for 2-3 seconds. Remove the electrode promptly or the acid will destroy it. Do not touch the electrode with your fingers. Rinse the electrode with clean tap water. Next, dip the electrode into a beaker of alcohol. Place the electrode onto a paper towel. When the electrode is dry, weigh it on an analytical balance to the nearest 0.0001 gram.

The apparatus looks superficially like this diagram of an electrolytic cell

Notice that we are using two beakers connected by an ammeter rather than

8) having the electrodes together in a solution. Take beaker with 0.5 M H2SO4 and place an electrode in each beaker. Before making any connections be sure the power supply is off and unplugged. The power supply is connected to the ammeter in series with the electrodes. The positive pole of the power supply is connected to the anode. The negative pin of the ammeter is connected to the anode. The cathode is connected to the positive pin of the ammeter. Finally, the cathode of the electrolytic cell is connected to the negative post of the battery or power supply. Remember, the mass of the anode will begin to change as soon as you turn the power on, so have your stopwatch ready!

You need accurate current and time measurements. The amperage should be recorded at one minute (60 sec) intervals. Be aware that the amperage may vary over the course of the experiment due to changes in the electrolyte solution, temperature, and position of the electrodes. The amperage used in the calculation should be an average of all readings. Allow the current to flow for a minimum of 1020 seconds (17.00 minutes). Measure the time to the nearest second or fraction of a second. After 1020 seconds turn off the power supply record the last amperage value and the time.

Now you retrieve the anode from the cell, dry it as before by immersing it in alcohol and allowing it to dry on a paper towel, and weigh it. If you wipe the anode you will remove copper from the surface and invalidate your work!

OBSERVATIONS

The following observations were made:

Anode mass lost: 0.3554 grams (g)
Current(average): 0.601 amperes (amp)
Time of electrolysis: 1802 seconds (s)

Remember:
one ampere = 1 coulomb/second or one amp.s = 1 coul
charge of one electron is 1.602 x 10-19 coulomb

  1. Find the total charge passed through the circuit.
    (0.601 amp)(1 coul/1amp-s)(1802 s) = 1083 coul
  2. Calculate the number of electrons in the electrolysis.
    (1083 coul)(1 electron/1.6022 x 1019coul) = 6.759 x 1021 electrons
  3. Determine the number of copper atoms lost from the anode.
    The electrolysis process consumes two electrons per copper ion formed. Thus, the number of copper (II) ions formed is half the number of electrons.
    Number of Cu2+ ions = ½ number of electrons measured
    Number of Cu2+ ions = (6.752 x 1021 electrons)(1 Cu2+ / 2 electrons)
    Number of Cu2+ ions = 3.380 x 1021 Cu2+ ions
  4. Calculate the number of copper ions per gram of copper from the number of copper ions above and the mass of copper ions produced.
    The mass of the copper ions produced is equal to the mass loss of the anode. (The mass of the electrons is so small as to be negligible, so the mass of the copper (II) ions is the same as the mass of copper atoms.)
    mass loss of electrode = mass of Cu2+ ions = 0.3554 g
    3.380 x 1021 Cu2+ ions / 0.3544g = 9.510 x 1021 Cu2+ ions/g = 9.510 x 1021 Cu atoms/g

 

  1. Calculate the number of copper atoms in a mole of copper, 63.546 grams.
    Cu atoms/mole of Cu = (9.510 x 1021 copper atoms/g copper)(63.546 g/mole copper)
    Cu atoms/mole of Cu = 6.040 x 1023 copper atoms/mole of copper
    This is  my measured value of Avogadro’s number!
  2. Calculate percent error.
    Absolute error: |6.02 x 1023 – 6.04 x 1023 | = 2 x 1021
    Percent error: (2 x 10 21 / 6.02 x 10 23)(100) = 0.3 %

Precautions

  • The chemicals should be handled with care to avoid any mishaps.
  • Do not switch on the battery before you have setup the entire circuit.
  • Be accurate while starting and stopping the stopwatch.
  • Do not wipe the anode.

BIBLIOGRAPHY

  1. http://www.iupac.org/goldbook/A00543.pdf
  2. http://gemini.tntech.edu/%7Etfurtsch/scihist/avogadro.htm
  3. http://www.americanscientist.org/issues/pub/2007/2/an-exact-value-for-avogadros-number
  4. http://www.inrim.it/Nah/Web_Nah/home.htm

You can find other Chemistry Projects here.

 

Antacid for neutralizing stomach acid – Chemistry Project

 

S.No. Contents II Page No.
I. Objective
II. Introduction
III. Experiment
IV. Material required
V. Procedure
VI. Observation
VII. Result
VIII. Precaution
IX. Bibliography

OBJECTIVE

The purpose of this experiment was to determine which antacid could neutralize the most stomach acid.

I became interested in this idea when I saw some experiments on medicines and wanted to find out some scientific facts about medicines.

The information gained from this experiment will help people know which antacid they should look for in the stores. It will also let them know which antacid will give them the most comfort. This could also save consumers money and provide better health.

INTRODUCTION

Digestion in the stomach results from the action of the gastric fluid, which includes secretions of digestive enzymes, mucus, and hydrochloric acid. The acidic environment of the stomach makes it possible for inactive forms of digestive enzymes to be converted into active forms (i.e. pepsinogen into pepsin), and acid is also needed to dissolve minerals and kill bacteria that may enter the stomach along with food. However, excessive acid production (hyperacidity) results in the unpleasant symptoms of heartburn and may contribute to ulcer formation in the stomach lining. Antacids are weak bases (most commonly bicarbonates, hydroxides, and carbonates) that neutralize excess stomach acid and thus alleviate symptoms of heartburn. The general neutralization reaction is:

Antacid (weak base) + HCl (stomach acid) —> salts + H20 + C02

The hydrochloric acid solution used in this experiment (0.1 M) approximates the acid conditions of the human stomach, which is typically 0.4 to 0.5% HQ by mass (pH ~ 1).Antacids help people who have or get heartburn.

ACIDS

Acids are a group of chemicals, usually in liquid form. They can be recognized by their sour taste and their ability to react with other substances. Acids are confirmed as an acid by their pH. The pH of acids ranges from 0-6.9 (below 7). The two main acids are: mineral acid and organic acid. The three well known acids that are sulphuric acid (H2S04), nitric acid (HN03), and hydrochloric acid (HCl).

STOMACH ACID

Stomach acid is very dangerous. If a person was to have an ulcer and the stomach acid was to escape it would irritate their other organs. Stomach acid is highly acidic and has a pH of 1.6. Stomach acid is hydrochloric acid produced by the stomach. If there is too much stomach acid it can cause heartburn. Heartburn is when stomach acid is produced in abnormal amounts or location. One of the symptoms of heartburn is a burning feeling in the chest or abdomen.

SOME FOODS CONTAINING ACIDS

Almost all foods and drinks and even medicines have ingredients that are different acids. Here are some examples: Aspirin (acetylsalicylic acid), Orange juice (ascorbic acid/Vitamin C), Sour Milk (lactic acid), Soda Water (carbonic acid), Vinegar (acetic acid), Apples (malic acid), and Spinach (oxalic acid).

ANTACID

An antacid is any substance that can neutralize an acid. All antacids are bases. A base is any substance that can neutralize an acid. The pH of a base is 7.1-14(above 7). All antacids have chemical in them called a buffer. When an antacid is mixed with an acid the buffer tries to even out the acidity and that is how stomach acid gets neutralized. In an antacid it is not the name brand that tells how well it works it is something called an active ingredient. Not all antacids have a different active ingredient. Some have one of the same active ingredients and some have all of the same active ingredients. Almost all the antacids that have the same active ingredient work the same amount as the other. The active ingredient of most of the antacids is bases of calcium, magnesium, aluminium.

ACTION MECHANISM

Antacids perform neutralization reaction, i.e. they buffer gastric acid, raising the pH to reduce acidity in the stomach. When gastric hydrochloric acid reaches the nerves in the gastrointestinal mucosa, they signal pain to the central nervous system. This happens when these nerves are exposed, as in peptic ulcers. The gastric acid may also reach ulcers in the oesophagus or the duodenum.

Other mechanisms may contribute, such as the effect of aluminium ions inhibiting smooth muscle cell contraction and delaying gastric emptying.

Antacids are commonly used to help neutralize stomach acid. Antacids are bases with a pH above 7.0 that chemically react with acids to neutralize them. The action of antacids is based on the fact that a base reacts with acid to form salt and water.

INDICATIONS

Antacids are taken by mouth to relieve heartburn, the major symptom of gastro oesophageal reflux disease, or acid indigestion. Treatment with antacids alone is asymptotic and only justified for minor symptoms. Peptic ulcers may require H2– receptor antagonists or proton pump inhibitors.

The usefulness of many combinations of antacids is not clear, although the combination of magnesium and aluminium salts may prevent alteration of bowel habits.

SIDE EFFECTS

  • Aluminium hydroxide: may lead to the formation of insoluble aluminium phosphate complexes, with a risk for hypophosphate and osteomalacia. Although aluminium has a low gastrointestinal absorption, accumulation may occur in the presence of renal insufficiency. Aluminium containing drugs may cause constipation.
  • Magnesium hydroxide: has a laxative property. Magnesium may accumulate in patients with renal failure leading to hypo magnesia, with cardiovascular and neurological complications.
  • Calcium: compounds containing calcium may increase calcium output in the urine, which might be associated to renal stones. Calcium salts may cause constipation.
  • Carbonate: regular high doses may cause alkalosis, which in turn may result in altered excretion of other drugs, and kidney stones.

PROBLEMS WITH REDUCED STOMACH ACIDITY

Reduced stomach acidity may result in an impaired ability to digest and absorb certain nutrients, such as iron and the B vitamins. Since the low pH of the stomach normally kills ingested bacteria, antacids increase the vulnerability to infection. It could also result in the reduced bioavailability of some drugs. For example, the bioavailability of ketocanazole (antifungal), is reduced at high intragastric pH (low acid content).

EXPERIMENT

The constants in this study were:

–   Type of acid

–   Consistency of procedures

The variables in the study were:

-Different types of antacid used

The responding variable was:

–  The amount of stomach acid each antacid could neutralize measured in ml.

MATERIAL REQUIRED

  • Burette
  • Pipette
  • Titration flask
  • Measuring flask
  • Beaker
  • Weighing machine
  • Concentrated Sulphuric acid
  • Methyl Orange
  • Antacid samples

PROCEDURE

  • Prepare half litre of N/10 HCl solution by diluting 10 ml of the concentrated acid to 1 litre.
  • Prepare N/10 sodium carbonate solution by weighing exactly 1.325 g of anhydrous sodium carbonate and then dissolving it in water to prepare exactly 0.25 litre of solution.
  • Standardize the HCl solution by titrating it against the standard sodium carbonate solution using methyl orange as indicator.
  • Take 20 ml of standardized HCl in the conical flask, use methyl orange as indicator and see the amount of base used for neutralization.
  • Powder the various sample of antacids tablets and weigh 10 mg of each.
    • Take 20 ml of standardized HCl solution in the conical flask; add the weighed samples to it.
    • Add two drops of methyl orange and warm the flask till most of the powder dissolves. Filter off the insoluble material.
    • Titrate the solution against the standardized Na2C03 solution till a permanent red tinge appears.
    • Note the amount of base used for titration and note the reduction in the amount of base used.
    • Repeat the experiment with different antacids.

OBSERVATIONS

Volume of N/10 sodium carbonate solution taken—20.0 ml

S. No. Initial burette Final burette Volume of acid
readings readings used (in ml)
1 0.0 ml 15 ml 15.0
2 0.0 ml 14 ml 14.0
3 0.0 ml 15 ml 15.0

Concordant reading—15.0 ml Applying normality equation

N1V1(acid) N2V2(base)

N (15) — (1/10) 20

Normality of HCl solution, N1 — 0.133 N

2. Neutralization of standardized HCl solution used

3. Analysis of antacid tablets

Weight of the antacid tablet powder— 10 mg Volume of HCl solution added— 20.0 ml

S. No. Antacid Initial reading of burette Final reading of burette Volume of Na2C03
1 Gelusil 0.0 ml 15.0 ml 15 ml
2 Aciloc 150 0.0 ml 22.0 ml 22 ml
3 Fantac 20 0.0 ml 25.0 ml 25 ml
4 Pantop 20 0.0 ml 20.0 ml 20 ml
5 Ocid 10 0.0 ml 7.0 ml 7 ml

RESULT

The most effective antacid out of the taken samples is acid 10.

PRECAUTIONS

  • All apparatus should be clean and washed properly.
  • Burette and pipette must be rinsed with the respective solution to be put in them.
  • Air bubbles must be removed from the burette and jet.
  • Last drop from the pipette should not be removed by blowing.
  • The flask should not be rinsed with any of the solution, which are being titrated.

Bibliography

  • Website : http:/ /www.encarta.com
  • NCERT Chemistry-12
  • Comprehensive Practical Chemistry -12

You can find other Chemistry Projects here.

Analysis Of Vegetables And Fruit Juices – Chemistry Project

 

S.No. Contents II Page No.
I. Introduction  
II. Material Requirement  
III. Experimental Procedure  
IV. Conclusion  
V. Bibliography  

INTRODUCTION

Fruits and vegetable are always a part of balanced diet. That means fruits vegetables provide our body with the essential nutrients, i.e. Carbohydrates, proteins, vitamins and minerals. Again their presence in these is being indicated by some of our general observations, like -freshly cut apples become reddish black after some time. Explanation for it is that iron present in apple gets oxidised to iron oxide. So, we can conclude that fruits and vegetables contain complex organic compounds, for e.g., anthocin, chlorophyll, esters(flavouring compounds), carbohydrates, vitamins and can be tested in any fruits or vegetable by extracting out its juice and then subtracting it to various tests which are for detection of different classes of organic compounds. Detection of minerals in vegetables or fruits means detection of elements other than carbon, hydrogen and oxygen.

MATERIAL REQUIRED

  • Test Tubes
  • Burner
  • Litmus paper
  • Laboratory reagents
  • Various fruits
  • Vegetables juices

CHEMICAL REQUIREMENTS

  • pH indicator
  • Iodine solution
  • Fehling solution A and Fehling solution B
  • Ammonium chloride solution
  • Ammonium hydroxide
  • Ammonium oxalate
  • Potassium sulphocyanide solution

PROCEDURE

The juices are made dilute by adding distilled water to it, in order to remove colour and to make it colourless so that colour change can be easily watched and noted down. Now test for food components are taken down with the solution.

TEST, OBSERVATION & INFERENCE

Test Observation Inference
ORANGE TEST:
Test for acidity:
Take 5ml of orange juice in a test tube and dip a pH paper in it. If pH is less than 7 the juice is acidic else the juice is basic. The pH comes out to be 6. Orange juice is acidic.
Test for Starch:
Take 2 ml of juice in a test tube and add few drops of iodine solution. It turns blue black in colour than the starch is present. Absence of blue black in colour. Orange juice is acidic.
Test for Carbohydrates (FEHLING’S TEST):
Take 2 ml of juice and 1 ml of Fehling solution A & B and boil it. Red precipitates indicates the presence of producing sugar like maltose, glucose , fructose & Lactose. No red coloured precipitates obtained. Carbohydrates absent.
Test for Iron:
Take 2 ml of juice add drop of conc. Nitric acid. Boil the solution cool and add 2-3 drops of potassium sulphocyanide solution .Blood red colours shows the presence of iron. Absence of blood red colour. Iron is absent.
Test for Calcium:
Take 2 ml of juice add Ammonium chloride and ammonium hydroxide solution. Filter the solution and to the filtrate add 2 ml of Ammonium Oxalate solution. white ppt or milkiness indicates the presence of calcium. Yellow precipitate is obtained. Calcium is present.

CONCLUSION

From the table given behind it can be conducted that most of the fruits & vegetable contain carbohydrate & vegetable contain carbohydrate to a small extent. Proteins are present in small quantity. Therefore one must not only depend on fruits and vegetables for a balance diet.

BIBLIOGRAPHY

NCERT Chemistry Part 1 & Part 2

You can find other Chemistry Projects here.

Amount of Acetic Acid In Vinegar – Chemistry Project

Measuring the Amount of Acetic Acid In Vinegar

 

S.No. Contents II Page No.
I. Introduction  
II. Materials And Equipments  
III. Theory  
V. Experimental Procedure
VI. Experiment 1  
VII. Experiment 2  
VIII. Experiment 3  
IX. Result  
X Precaution  
XI. Bibliography  

Introduction

Vinegar is a solution made from the fermentation of ethanol (CH3CH2OH), which in turn was previously fermented from sugar. The fermentation of ethanol results in the production of acetic acid (CH3COOH). There are many different types of vinegar, each starting from a different original sugar source (e.g., rice, wine, malt, etc.). The amount of acetic acid in vinegar can vary, typically between 4 to 6% for table vinegar, but up to three times higher (18%) for pickling vinegar.

In this project, we will determine the amount of acid in different vinegar using titration, a common technique in chemistry. Titration is a way to measure the unknown amount of a chemical in a solution (the titrant) by adding a measured amount of a chemical with a known concentration (the titrating solution). The titrating solution reacts with the titrant, and the endpoint of the reaction is monitored in some way. The concentration of the titrant can now be calculated from the amount of titrating solution added, and the ratio of the two chemicals in the chemical equation for the reaction.

To measure the acidity of a vinegar solution, we can add enough hydroxyl ions to balance out the added hydrogen ions from the acid. The hydroxyl ions will react with the hydrogen ions to produce water. In order for a titration to work, we need three things:

  1. a titration solution (contains hydroxyl ions with a precisely known concentration),
  2. a method for delivering a precisely measured volume of the titrating solution, and
  3. a means of indicating when the endpoint has been reached.

For the titrating solution, we’ll use a dilute solution of sodium hydroxide (NaOH). Sodium hydroxide is a strong base, which means that it dissociates almost completely in water. So for every NaOH molecule that we add to the solution, we can expect to produce a hydroxyl ion.

To dispense an accurately measured volume of the titrating solution, we will use a burette. A burette is a long tube with a valve at the bottom and graduated markings on the outside to measure the volume contained in the burette. The burette is mounted on a ring stand, directly above the titrant solution (as shown in the picture).

Solutions in the burette tend to creep up the sides of the glass at the surface of the liquid. This is due to the surface tension of water. The surface of the liquid thus forms a curve, called a meniscus. To measure the volume of the liquid in the burette, always read from the bottom of the meniscus.

In this experiment, we will use an indicator solution called phenolphthalein. Phenolphthalein is colourless when the solution is acidic or neutral. When the solution becomes slightly basic, phenolphthalein turns pinkish, and then light purple as the solution becomes more basic. So when the vinegar solution starts to turn pink, we know that the titration is complete.

Materials and Equipment

To do this experiment we will need the following materials and equipment:

.     Vinegar, three different types.

.     Distilled water

.     Small funnel

.     0.5% Phenolphthalein solution in alcohol (pH indicator solution)

.     0.1 M sodium hydroxide solution

.     125 mL Conical flask

.     25 or 50 mL burette

.     10 mL graduated cylinder

.     Ring stand

.     Burette clamp

Theory

Required amount of sodium hydroxide (NaOH) can be calculated using the following formula:

W = Molarity x Molar mass x Volume(cm )
=
1000

Molar mass of NaOH = 40 g/mol =   0.5 x 40 x 500 ~        1000 =    10 g

The acetic acid content of a vinegar may be determined by titrating a vinegar sample with a solution of sodium hydroxide of known molar concentration (Molarity).

CH3COOH(aq) + NaOH(aq)     CH3COONa(aq) + H2O(l) (acid) + (base) — > (salt) + (water)

At the end point in the titration stoichiometry between the both solution lies in a 1:1 ratio.

MCH3COOHVCH3COOH      1

MNaOHVNaOH                         1

Strength of acid in vinegar can be determined by the following formula:

Strength of acetic acid = MCH COOH x 60

Indicator:- Phenolphthalein End Point:- Colourless to pink

Experimental Procedure

Performing the Titration

  1. Pour 1.5 ml of vinegar in an Conical flask.
    1. Add distilled water to dissolve the vinegar so that the volume of the solution becomes 20 mL.
    2. Add 3 drops of 0.5% phenolphthalein solution.
      1. Use the burette clamp to attach the burette to the ring stand. The opening at the bottom of the burette should be just above the height of the Conical flask we use for the vinegar and phenolphthalein solution.
      2. Use a funnel to fill the burette with a 0.1 M solution of sodium hydroxide.
      3. Note the starting level of the sodium hydroxide solution in the burette. Put the vinegar solution to be titrated under the burette.
      4. Slowly drip the solution of sodium hydroxide into the vinegar solution. Swirl the flask gently to mix the solution, while keeping the opening underneath the burette.
      5. At some point we will see a pink colour in the vinegar solution when the sodium hydroxide is added, but the colour will quickly

disappear as the solution is mixed. When this happens, slow the burette to drop-by-drop addition.

  1. When the vinegar solution turns pink and remains that colour even with mixing, the titration is complete. Close the tap (or pinch valve) of the burette.
  2. Note the remaining level of the sodium hydroxide solution in the burette. Remember to read from the bottom of the meniscus.
  3. Subtract the initial level from the remaining level to figure out how much titrating solution we have used.
  4. For each vinegar that we test, repeat the titration at least three times.

EXPERIMENT – 1

I.   Take the household vinegar in the conical flask and do the titration with sodium hydroxide (NaOH) as mentioned.

OBSERVATIONS

S.no Volume of vinegar solution Burette Reading Volume of NaOH solution used
Initial (in mL) Final (in mL)
1. 20 0 27 27
2. 20 0 27 27
3. 20 0 27 27

Concordant volume = 27 mL

CALCULATIONS

We know that,

M CH 3 COOH VCH 3 COOH _ M NaOH VNaOH Continue reading “Amount of Acetic Acid In Vinegar – Chemistry Project”

Adulterants in Food – Chemistry Project

Study of  the Adulterants in Food

 

S.No. Contents Page No.
I. Objective
II. Theory
III. Experiment 1
IV. Experiment 2
V. Experiment 3
VI. Result
VII. Conclusion
VIII. Bibliography

Objective

The Objective of this project is to study some of the common food adulterants present in different food stuffs.

Adulteration in food is normally present in its most crude form; prohibited substances are either added or partly or wholly substituted. Normally the contamination/adulteration in food is done either for financial gain or due to carelessness and lack in a proper hygienic condition of processing, storing, transportation and marketing. This ultimately results that the consumer is either cheated or often become a victim of diseases. Such types of adulteration are quite common in developing countries or backward countries. It is equally important for the consumer to know the common adulterants and their effect on health.

THEORY

The increasing number of food producers and the outstanding amount of import foodstuffs enables the producers to mislead and cheat consumers. To differentiate those who take advantage of legal rules from the ones who commit food adulteration is very difficult. The consciousness of consumers would be crucial. Ignorance and unfair market behaviour may endanger consumer health and misleading can lead to poisoning. So we need simple screening, tests for their detection.

In the past few decades, adulteration of food has become one of the serious problems. Consumption of adulterated food causes serious diseases like cancer, .diarrhoea., , .asthma., .ulcers., etc. Majority of fats, oils and butter are paraffin wax, castor oil and hydrocarbons. Red chilli powder is mixed with brick powder and pepper is mixed with dried papaya seeds. These adulterants can be easily identified by simple chemical tests.

Several agencies .have been set up by the Government of India to remove adulterants from food stuff.

AGMARK – Acronym for agricultural marketing. This organization certifies food products for their quality. Its objective is to promote the Grading and Standardization of agricultural and allied commodities.

EXPERIMENT 1

AIM

To detect the presence of adulterants in fat, oil and butter.

REQUIREMENTS

Test-tube, acetic anhydride, conc. H2SO4, acetic acid, conc. HNO3.

PROCEDURE

Common adulterants present in ghee and oil are paraffin wax, hydrocarbons, dyes and argemone oil. These are detected as follows :

(i)           Adulteration of paraffin wax and hydrocarbon in vegetable ghee
Heat small amount of vegetable ghee with acetic anhydride. Droplets
of oil floating on the surface of unused acetic anhydride indicates the
presence of wax or hydrocarbons.

(ii)          Adulteration of dyes in fat

Heat 1mL of fat with a mixture of 1mL of conc. sulphuric acid and 4mL of acetic acid. Appearance of pink or red colour indicates presence of dye in fat.

(iii)        Adulteration of argemone oil in edible oils

To small amount of oil in a test-tube, add few drops of conc. HNO3 and shake. Appearance of red colour in the acid layer indicates presence of argemone oil.

EXPERIMENT 2

AIM

To detect the presence of adulterants in sugar

REQUIREMENTS

Test-tubes, dil. HCl.

PROCEDURE

Sugar is usually contaminated with washing soda and other insoluble substances which are detected as follows :

(i)           Adulteration of various insoluble substances in sugar

Take small amount of sugar in a test-tube and shake it with little water. Pure sugar dissolves in water but insoluble impurities do not dissolve.

(ii)         Adulteration of chalk powder, washing soda in sugar

To small amount of sugar in a test-tube, add few drops of dil. HCl. Brisk effervescence of CO2 shows the presence of chalk powder or washing soda in the given sample of sugar.

EXPERIMENT 3

AIM

To detect the presence of adulterants in samples of chilli powder, turmeric powder and pepper

REQUIREMENTS

Test-tubes, conc. HCl, dil. HNO3, KI solution

PROCEDURE

Common adulterants present in chilli powder, turmeric powder and pepper are red coloured lead salts, yellow lead salts and dried papaya seeds respectively. They are detected as follows :

(i)           Adulteration of red lead salts in chilli powder

To a sample of chilli powder, add dil. HNO3. Filter the solution and add 2 drops of potassium iodide solution to the filtrate. Yellow ppt. indicates the presence of lead salts in chilli powder.

(ii)         Adulteration of yellow lead salts to turmeric powder

To a sample of turmeric powder add conc. HCl. Appearance of magenta colour shows the presence of yellow oxides of lead in turmeric powder.

(iii)        Adulteration of brick powder in red chilli powder

Add small amount of given red chilli powder in beaker containing water. Brick powder settles at the bottom while pure chilli powder floats over water.

(iv)        Adulteration of dried papaya seeds in pepper

Add small amount of sample of pepper to a beaker containing water and stir with a glass rod. Dried papaya seeds being lighter float over water while pure pepper settles at the bottom.

RESULT

EXPERIMENT PROCEDURE OBSERVATION
Adulteration of paraffin wax and hydrocarbon in vegetable ghee. Heat small amount of vegetable ghee with acetic anhydride. Droplets of oil floating on the surface of unused acetic anhydride indicate the presence of wax or hydrocarbon Appearance of oil floating on the surface.
Adulteration of dyes in fat Heat 1mL of fat with a mixture of 1mL of conc. H2SO4 and 4mL of acetic acid. Appearance of pink colour.
Adulteration of argemone oil in edible oils To small amount of oil in a test tube, add few drops of conc. HNO3 & shake. No red colour observed
Adulteration of various insoluble substances in sugar. Take small amount of sugar in a test tube and shake it with little water. Pure sugar dissolves in water but insoluble impurities do not dissolve.
Adulteration of chalk powder, washing soda in sugar. To small amount of sugar in a test tube, add a few drops of dil. HCl. No brisk effervescence

observed.

Adulteration of yellow lead salts to turmeric powder. To sample of turmeric powder, add conc. HCl. Appearance of magenta colour.
Adulteration of red lead salts in chilli powder. To a sample of chilli powder, add dil. HNO3. Filter the solution and add 2 drops of KI solution to the filtrate. No yellow ppt.
Adulteration of brick powder in chilli powder. Add small amount of given red chilli powder in a beaker containing water. Brick powder settles at the bottom while pure chilli powder floats over water.
Adulteration of dried papaya seeds in pepper. Add small amount of sample of pepper to beaker containing water and stir with a glass rod. Dried papaya seeds being lighter float over water while pure pepper settles at the bottom.

CONCLUSION

Selection of wholesome and non-adulterated food is essential for daily life to make sure that such foods do not cause any health hazard. It is not possible to ensure wholesome food only on visual examination when the toxic contaminants are present in ppm level. However, visual examination of the food before purchase makes sure to ensure absence of insects, visual fungus, foreign matters, etc. Therefore, due care taken by the consumer at the time of purchase of food after thoroughly examining can be of great help. Secondly, label declaration on packed food is very important for knowing the ingredients and nutritional value. It also helps in checking the freshness of the food and the period of best before use. The consumer should avoid taking food from an unhygienic place and food being prepared under unhygienic conditions. Such types of food may cause various diseases. Consumption of cut fruits being sold in unhygienic conditions should be avoided. It is always better to buy certified food from a reputed shop.

BIBLIOGRAPHY

  • NCERT CHEMISTRY XII
  • ENCARTA ENCYCLOPEDIA

You can find other Chemistry Projects here.

Chemistry

Sample Certificate
Sample Acknowledgment

You can find other stuff for Class XII here.